English National Curriculum - Science

Reactions of the alkenes

Mission Objectives

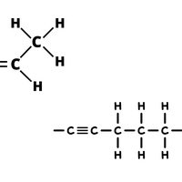
Recall and represent the structure of alkenes

Describe and explain the reactions of alkenes

Identify and describe the conditions and catalysts required for each addition reaction

Sign up to access this content
Rocket Words Quiz

Rocket Words Quiz

See if you know all the meanings of the rocket words

Assessment Quiz

Assessment Quiz

Test your knowledge of this lesson

Word Search Game

Word Search Game

Find all the rocket words in the grid

Lesson Resources

Lesson Plan

View and print the lesson plan

View

Downloads

Save files related to this lesson

Keywords

Words and meanings to learn

homologous series

group of related organic compounds that have the same functional group

functional group

the part of a molecule that determines how it reacts; all compounds in a homologous series have the same functional group

addition reaction

a chemical reaction where atoms are added to a molecule without taking any atoms away

unsaturated compound

when a molecule contains at least one double or triple bond between carbon atoms

saturated compound

contains only single bonds between carbon atoms; it cannot add more atoms to its structure

This lesson has been written by

Sarah Mintey MBE

Sarah is a former headteacher and charity CEO who founded Developing Experts in October 2015 with the goal to create a fit-for-purpose curriculum for schools. The company has created a science curriculum for children ages 4-16 which is delivered through sequenced lessons mapped against the National Curriculum in biology, chemistry, and physics. Developing Expert's innovative approach to learning has already been road-tested and voted 'best EdTech product in Europe', winning Tech Nation’s Rising Stars earlier in 2019 and a place on Google for Startups Immersion program 2020. In 2022 Developing Experts won the BETT Awards for Best Classroom Resource - Teaching Aid. Sarah is a 'LDC Top 50 Most Ambitious Business Leader' 2022. In October 2022 Developing Experts joined Tech Nation's Upscale 8.0 programme.

Sarah is delighted to be working with over 6500 UK schools and clients such as the Royal Horticulture Society, Network Rail, Rolls Royce, BEIS, National Nuclear Labs, Anglian Water and the Ministry of Defence.

Sarah was awarded an MBE for her services to tech and education in 2020. 

Samantha Batch

Samantha is an accomplished science educator with over 15 years of leadership experience and a strong background in scientific analysis. She has a proven record of leading departments effectively, improving practice, and working collaboratively with stakeholders.

In her current work, Samantha embeds evidence-informed pedagogical principles such as retrieval practice, clear modelling, and effective sequencing to support high-quality curriculum design and professional development. She draws on assessment insight and common misconceptions to help teachers secure strong student understanding.

She is a former Head of Chemistry and Sixth Form Tutor at Ilkley Grammar School, with extensive Key Stage 4 and 5 experience, and an AQA examiner, giving her valuable insight into assessment standards and exam requirements.

In her spare time, Samantha enjoys playing the accordion with her local orchestra and has recently taken up cricket. 

Required Resources

Resources: 

  • Molymod kits
  • Handouts

These links are being provided as a convenience and for informational purposes only; they do not constitute an endorsement or an approval from Developing Experts of any of the products, services or opinions of the corporation or organisation or individual.

Developing Experts bears no responsibility for the accuracy, legality or content of the external site or for that of subsequent links. Contact the external site for answers to questions regarding its content.

You will be redirected to:

Expert film

Sign up to access this content

This lesson is only available to users with an active subscription.

Mission assignment film

Sign up to access this content

This lesson is only available to users with an active subscription.

Stay connected

Join our newsletter to stay up to date on features and releases

Address
Developing Experts Limited
Exchange Street Buildings
35-37 Exchange Street
Norwich
NR2 1DP
UK

Phone
01603 273515

Email
[email protected]

Copyright 2026 Developing Experts, All rights reserved.